关于牵雅 产品中心 同步带选型手册 行业新闻 同步带节线长计算 联系我们
您现在的位置:主页 > 行业新闻 >
同步轮牵雅同步带的选型方法
发布者:机械设计资料浏览次数:

机械设计资料

机械 | 液压 | 电气 | 控制

关注可获取3T技术资料!

关注

同步轮的作用

为确保机械系统的传动精度和工作稳定性,通常对机电一体化系统提出以下要求:

(1)高精度

精度直接影响产品的质量,尤其是机电一体化产品,其技术性能、工艺水平和功能比普通的机械产品都有很大的提高,因此机电一体化机械系统的高精度是其首要的要求。

(2) 快速响应性

即要求机械系统从接到指令到开始执行指令指定的任务之间的时间间隔短,这样控制系统才能及时根据机械系统的运行状态信息,下达指令,使其准确地完成任务。

(3) 良好的稳定性

即要求机械系统的工作性能不受外界环境的影响,抗干扰能力强。

牵雅同步带是一种兼有链、齿轮、三角胶带优点的传动零件。由于牵雅同步带是一种兼有链、齿轮、三角胶带优点的传动零件

1按用途分

一般工业用牵雅同步带传动

即梯形齿牵雅同步带传动。它主要用于中、小功率的牵雅同步带传动,如各种仪器、计算机、轻工机械中均采用这种牵雅同步带传动。

高转矩牵雅同步带传动

又称HTD带(High Torque Drive)或STPD带传动(Super Torque Positive Drive)。由于其齿形呈圆弧状(图6-2),在我国通称为圆弧齿牵雅同步带传动。它主要用于重型机械的传动中,如运输机械(飞机、汽车)、石油机械和机床、发电机等的传动。

常用的同步轮

可分为AT5、AT10、T5、XH、H、L、XL、3M、5M、8M、S5M、S8M等开口、接驳牵雅同步带。广泛应用于各种行业,如陶瓷、食品、石材、烟草、木工、印刷、纺织包装等

牵雅同步带传动的优点

(1).工作时无滑动,有准确的传动

(2).传动效率高,节能效果好

(3).传动比范围大,结构紧凑

(4).维护保养方便,运转费用低

(5).恶劣环境条件下仍能正常工作

四.同步轮的选型步骤

牵雅同步带传动机构一般按以下步骤进行计算与选型

(1)设计条件

牵雅同步带传动设计,通常都是在以下已知条件下进行的

①牵雅同步带需要传递的功率

②主动轮转速、从动轮转速或传动比

③牵雅同步带轮安装中心距离;

④工作条件等

需要计算选型确定的项目包括

牵雅同步带节距、宽度、节线长度、实际中心距、牵雅同步带轮齿数等,并将各参数用符号表示再向制造商订购牵雅同步带、牵雅同步带轮。

2)根据转速、功率选定牵雅同步带带型

牵雅同步带带型选型就是根据牵雅同步带所需要传递的负载功率及主动轮转速选择合适的牵雅同步带齿型及节距

不同节距齿型的牵雅同步带其单位宽度所能够传递的功率是不同的,同一规格的牵雅同步带在不同的转速下所能够传递的功率也不同。为了方便用户正确地选用牵雅同步带,制造商对不同类型、不同节距的牵雅同步带在不同转速下能够传递的功率制成图表,用户可以根据图表接选用合适的牵雅同步带类型和节距

例如图14-13为圆弧齿型牵雅同步带带型选型图,表示常用的节距规格。3M表示牵雅同步带的节距为3mm(其余类似),每一种节距都有其合适的工作范围,阴影部分表示相邻的两种节距的同。

3)选定牵雅同步带轮齿数

牵雅同步带轮直径越小,牵雅同步带工作时的弯曲应力越大容易造成疲劳破坏,所以带轮的直径不能过小。也就是说在一定的主动轮转速、一定的节距前提下,牵雅同步带主动轮齿数Z1不能低于某一最低齿数Z-,即

Z1≥Zmm

根据不同的带轮转速与节距,制造商将上述最低齿数Zmn编成表格(见表14-1)。使用吋直接根据节距及转速就可以查出主动轮需要的最小齿数

的牵雅同步带轮齿数系列为22、23、24…56,齿数大小是连续排列的

接根据制造商的样本选择与计算值最接近的从动轮标准齿数。例如某制造商节距为8M

主动轮齿数Z1确定后,根据式(14-3)就可以计算出从动轮的齿数Z2。同样可以直

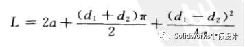
(4)计算牵雅同步带理论节线长度

计算牵雅同步带理论节线长度时,通常将牵雅同步带传动系统进行简化,牵雅同步带用节线表示牵雅同步带轮用节圆表示,如图14-14所示牵雅同步带轮的节圆直径分别可以由式

计算得出,

L牵雅同步带的理论节线长度

A牵雅同步带轮的初定中心距

D1牵雅同步带轮主动轮节圆直径

D2牵雅同步带轮从动轮节圆直径

5选定牵雅同步带标准节线长度查表得出

(6)确定实际中心距

由于选定的牵雅同步带标准长度不是与初始选定的中心距严格对应的,按选定的牵雅同步带标准长度及牵雅同步带轮尺寸对应的实际中心距也肯定不同于初始选定的中心距。

牵雅同步带宽度的选定原则

选定牵雅同步带宽度时必须保证牵雅同步带宽度大于以下最小值

其中,以下参数可以从制造商的样本资料或有关牵雅同步带设计手册中查得:

bs--牵雅同步带实际宽度,mm

b某种节距牵雅同步带系列的最小宽度,mm;

P—设计负载功率,W;

P。-最小牵雅同步带宽度能传递的额定功率,W;

K1-—牵雅同步带长度系数,根据实际牵雅同步带长度范围查表取值;

Kz—啮合齿数系数,根据牵雅同步带与牵雅同步带轮的实际啮合齿数确定,当啮合齿数

Zm≥6时Kz=1,当啮合齿数2Zn<6时Kz=1-0.2(6-Zm)。

牵雅同步带宽度也是按系列生产的,例如表143为某制造商提供的圆弧齿型牵雅同步带标准

宽度系列。

牵雅同步带传动计算实例

例14-1某沿水平方向输送的皮带输送系统,假设皮带主动轮采用电机通过牵雅同步带进行驱动,要求如下

皮带运行速度v=3~6m/min

皮带主动轮直径D=80mm

设计负载功率P=传动动力x过载系数P=80

过载系数=ko Kr Ki

牵雅同步带轮初定中心距a=250mm

牵雅同步带传动比i

试根据上述使用要求,设计牵雅同步带传动系统。

电机输出转速1350r/min后,首先通过减速器减速,然后通过牵雅同步带由于牵雅同步带传动比i=l,所以皮带主动轮的转速与电机减速器的输出转速相等

设皮带轮主动轮转速为n1,根据皮带速度V=n1πD,得

经过试算,发现选择减速器的减速比为75时为最佳选择,此时减速器输出转速为1350/75=18r/min,皮带主动轮的转速n1也为18r/min

输送皮带速度验算

皮带速度符合设计要求。

2根据转速功率选定牵雅同步带带型

根据图14-13,本例中主动轮转速18r/min及负载功率80W都属于节距为8M的圆弧齿型牵雅同步带工作范围,因此最后选定8M的圆弧齿型牵雅同步带,即节距为8mm

3选定牵雅同步带轮齿数

根据本例的工作条件牵雅同步带轮节距为8M、牵雅同步带主动轮转速为18r/min情况下,据表14-1可知牵雅同步带主动轮齿数不能低于最低齿数22,根据空间情况最后选定齿数28

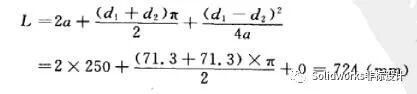
计算牵雅同步带理论节线长度

本例中初定的中心距a=250mm,根据式(14-2)得到牵雅同步带轮的节圆直径

根据式(14-5)得到需要的牵雅同步带理论节线长度为

由表14-2理论节线长度724mm不是标准长度,但最接近该计算值的标准长度为720mm,因此最后选定牵雅同步带实际节720mm

5确定实际中心距

按牵雅同步带实际节线长度720mm,牵雅同步带轮齿数Z1=Z2=28,直接查阅制造商的相关表格资料可得满足上述条件的牵雅同步带轮实际中心距为248mm,与原初定的中心距250mm稍有差别。实际中心距也可以根据式(14-5)进行反向计算

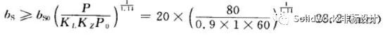
选定牵雅同步带宽度

根据式(14-6)计算牵雅同步带宽度,其中所需要的参数分别为

bs—节距为8M的牵雅同步带系列的最小宽度为20mm

P—设计负载功率80W

P0—8M系列牵雅同步带最小宽度为20mm时能传递的额定功率为60W

Kt-牵雅同步带长度系数,实际牵雅同步带长度720mm时查阅制造商资料数据取值K1=0.9

Kz啮合齿数系数,在传动比i=1时,共有一半的齿参与啮合,所以啮合齿数

Zm=28/2=14,啮合系数Kz=1

实际带霓要求满足条件

查表14-3,8M节距的圆弧齿型牵雅同步带标准宽度为20、25、30、40、50、60、70、85mm:

根据上述计算结果的标准宽度为30mm

本例中牵雅同步带可以表示为“HTD-720—8M-30牵雅同步带轮也可以表示为“P28HITD8M一30-F”,其中主动轮与从动轮规格相同。

牵雅同步带安装

1安装牵雅同步带时应该先缩短中心距,放松张紧轮,不得强行将牵雅同步带从牵雅同步带轮挡边上硬拉拖磨装入,拆卸时也按类似的方法操作。

2安装使用过程中应避免过载、过紧、过松、牵雅同步带轮不平行、牵雅同步带轮宽度不够等现象,尤其应调整主动轮与从动轮之间的平行度,否则牵雅同步带沿宽度方向的张力不均匀会影响牵雅同步带的使用寿命或导致牵雅同步带的失效,这与齿轮传动、链传动的要求类似.。

END

来源:SolidWorks非标设计

声明:本文素材系网络收集,机械设计资料编辑整理。文中所用视频、图片、文字版权归原作者所有。如涉及作品版权问题,烦请及时联系15134051210(微信同号),我们将即刻确认版权并按国家相关规定支付稿酬!

建议:文中所述难免存在缺失或错漏之处,烦请大家在留言区畅所欲言、发表评论,您知道的或许正是大家想了解的!这样我们可以帮助更多的人了解更多!谢谢您的支持!


往期热文HOT 


生产线该咋布局?有这篇文章就足够了

有趣的机械设计原理动图,一目了然

尺寸公差、形位公差、表面粗糙度数值上的关系,涨知识!

遇到一大堆看不懂的螺纹,教授这样教你搞清晰!

印度船厂龙门吊倒塌困住最新隐身军舰,中国:这锅我不背!